球王会|体育五大联赛最新战报网站
集团首页
实训平台
首页
关于我们
球王会简介
机构设置
现任领导
党群工作
党建动态
组织建设
学习教育
员工党建
妇委会
共青团
工会工作
教师队伍
团队概况
专业团队
诚聘英才
本科教学
本科专业
教学动态
公司产品
学位授权点
导师队伍
招生信息
科学研究
科研概况
科研机构
科研平台
科研成果
团队建设
学科动态
博士点建设
硕士点建设
员工工作
学工动态
学风建设
科技创新
就业信息
对外交流
国内合作
国际交流
ENGLISH
Introduction
Organization
Faculty and staff
Globe cooperation
导航
首页
关于我们
球王会简介
机构设置
现任领导
党群工作
党建动态
组织建设
学习教育
员工党建
妇委会
共青团
工会工作
教师队伍
团队概况
专业团队
诚聘英才
本科教学
本科专业
教学动态
公司产品
学位授权点
导师队伍
招生信息
科学研究
科研概况
科研机构
科研平台
科研成果
团队建设
学科动态
博士点建设
硕士点建设
员工工作
学工动态
学风建设
科技创新
就业信息
对外交流
国内合作
国际交流
ENGLISH
Introduction
Organization
Faculty and staff
Globe cooperation
公司产品
学位授权点
|
导师队伍
|
招生信息
|
招生信息
首页
公司产品
招生信息
正文
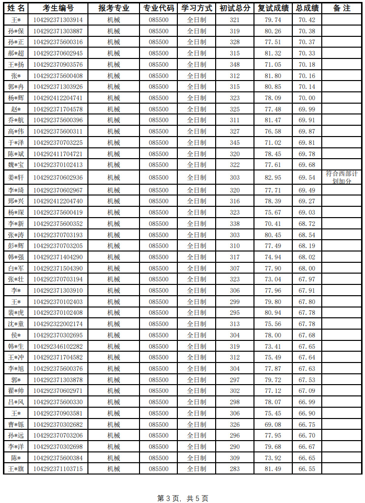
球王会2022年硕士研究生一志愿复试考生成绩表
来源:球王会
时间:2022-03-31
浏览:
上一页
[1]
[2]
[3]
[4]
[5]
下一页